先举一些例子:
以上这些例子,可以通过一种叫对比学习的思路来解决,与单一的网络结构比,对比学习同时接收2个输入,经过模型后,将两个输出结果做比较。

其中,架构中的两个Network可以是同构的(模型、参数完全一致),叫孪生网络 Siamese networks;也可以是异构的,叫伪孪生网络。

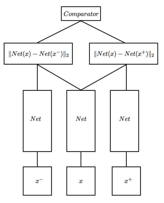
甚至也可以有3个network组成:
计算两个输入的大小得分:经过模型的输出是一个标量得分。
import torch
import torch.nn as nn
class RankNet(nn.Module):
def __init__(self, num_features,hidden=[256,128]):
# hidden 的数值为超参数,可通过Gridsearch确定一个合适值
super(RankNet, self).__init__()
self.model = nn.Sequential(
nn.Linear(num_features,hidden[0]),
nn.Dropout(0.2),
nn.ReLU(),
nn.Linear(hidden[1], 1))
self.sigmoid = nn.Sigmoid()
def forward(self, input1, input2):
# 训练过程中,接受pair对中的两个向量,通过model获取得分,两个得分差值过sigmoid函数,用于bce计算损失
s1 = self.model(input1)
s2 = self.model(input2)
diff = s1 - s2 #模型输出为标量,直接计算2者的差值
prob = self.sigmoid(diff) #根据差值,计算pair对应的label是1,还是0. 二分类问题。
return prob
def predict(self, input_):
# 实际预测得分的时候,只需要输入一个,得到得分即可
return self.model(input_)
model = RankNet(10)
criterion = nn.BCELoss() #使用bce损失函数
输入经过Network后得到一个向量表征,两个向量通过计算距离,比较这对输入是相关(label=1),还是不相关(label=0).
两个向量相似度的比较:
| 闵科夫斯基距离(Minkowski distance) $d=(\sum^n_{i=1} | x_i-y_i | ^p)^{\frac{1}{p}}$ |
| p=1, 曼哈顿 $d=\sum^n_{i=1} | x_i-y_i | $, 直角三角形2边 |
| p=2,欧氏距离 $d = \sqrt{\sum^n_{i=1} | x_i-y_i | ^2 }$, 直角三角形的斜边 |
| p=无穷,切比雪夫距离 $d = max( | x_1-y_1 | ,…, | x_n-y_n | )$ |
点积:
$V * W = v_1w_1 + v_2w_2 + … + v_n*w_n $
| $ v*w = | a | * | b | * cos(θ) $ |
| a | 、 | b | 表示向量的模(长度),θ表示向量a和b之间的夹角 |
2个向量的点积越大越相似
图片来源:MoCo: Momentum Contrast for Unsupervised Visual Representation Learning
三种对比损失机制的概念比较。这三种机制的不同之处在于keys的维护方式和keys编码器的更新方式。
InfoNCE loss: 对比损失函数
$L_q = − log \frac{exp(q·k_+/τ ) }{\sum^K_{i=0} exp(q·k_i/τ )}$
温度参数 τ ,可学习?
视觉表征对比学习的简单框架。 两个独立的数据增广运算符从同一系列扩充(t∼T 和 t’∼T)中采样,并应用于每个数据样本以获得两个相关视图。 基础编码器网络f(·) 和投影头g(·) 被训练以使用对比损失最大化协议。 训练完成后,我们扔掉投影头 g(·) 并使用编码器 f(·) 和表示 h 用于下游任务。
语义检索 ann召回 疑问:双塔模型,query和doc过了模型后产出不一样的向量分布?适合ann召回?
Embedding-based Retrieval in Facebook Search
2019.11.13 MoCo Momentum Contrast for Unsupervised Visual Representation Learning
最近邻算法